***Pour revenir à la page d’accueil** ICI
Un peu d'histoire ...
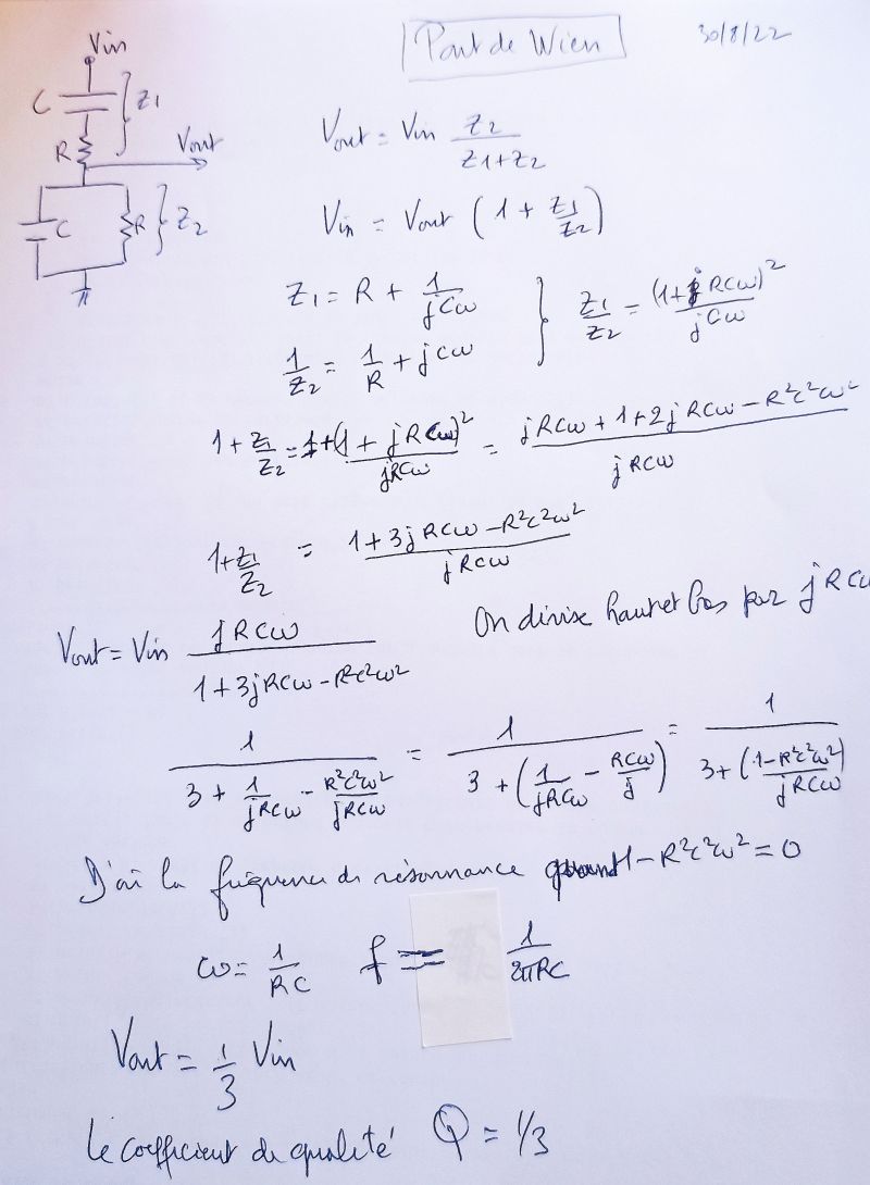
Le pont de Wien a été développé à l'origine par Max Wien en 1891. À cette époque, Wien n'avait pas les moyens de réaliser un
circuit amplificateur et donc n'a pu construire un oscillateur. Le circuit
moderne est dérivé de la thèse de maîtrise de William Hewlett en 1939. Hewlett, avec David Packard, cofonda Hewlett-Packard. Leur premier produit fut le HP 200A, un
oscillateur basé sur le pont de Wien. Le 200A est un instrument classique connu
pour la faible distorsion du signal de sortie.
( wikipedia )
Cet
oscillateur a pour caractéristique de générer une onde sinusoïdale de grande
pureté.

La description détaillée provient du Club Scientifique et Radioamateur de Rueil-Malmaison (F6KFA) .
Un élément
critique du schéma est cette mini lampe de tableau de bord, 12V, 50 ohms à
froid, environ 1W.

